Lks Sejarah Indonesia Kelas 12 Pdf / Buku Sejarah Indonesia Kelas 11 Penerbit Yudistira Pdf : Dekrit presiden 5 juli 1959 merupakan jembatan politik dari era demokrasi.

Jual buku sejarah kelas 12 murah . 03 pdf kunci suplemen ktsp kelas 12 2015. Semoga dengan adanya materi pelajaran sejarah indonesia kelas 12 sma dan smk dalam bentuk pdf ini dapat memberikan manfaat buat siswa maupun . Modul ini saya harap bisa membantu anak didik yang belum mendapatkan buku cetakan dalam belajar.modul sejaraha ini berformat pdf dan dapat . Mata pelajaran wajib terdiri dari bahasa inggris, bahasa indonesia, matematika wajib, pkn, pendidikan agama islam (pai), dan sejarah indonesia.

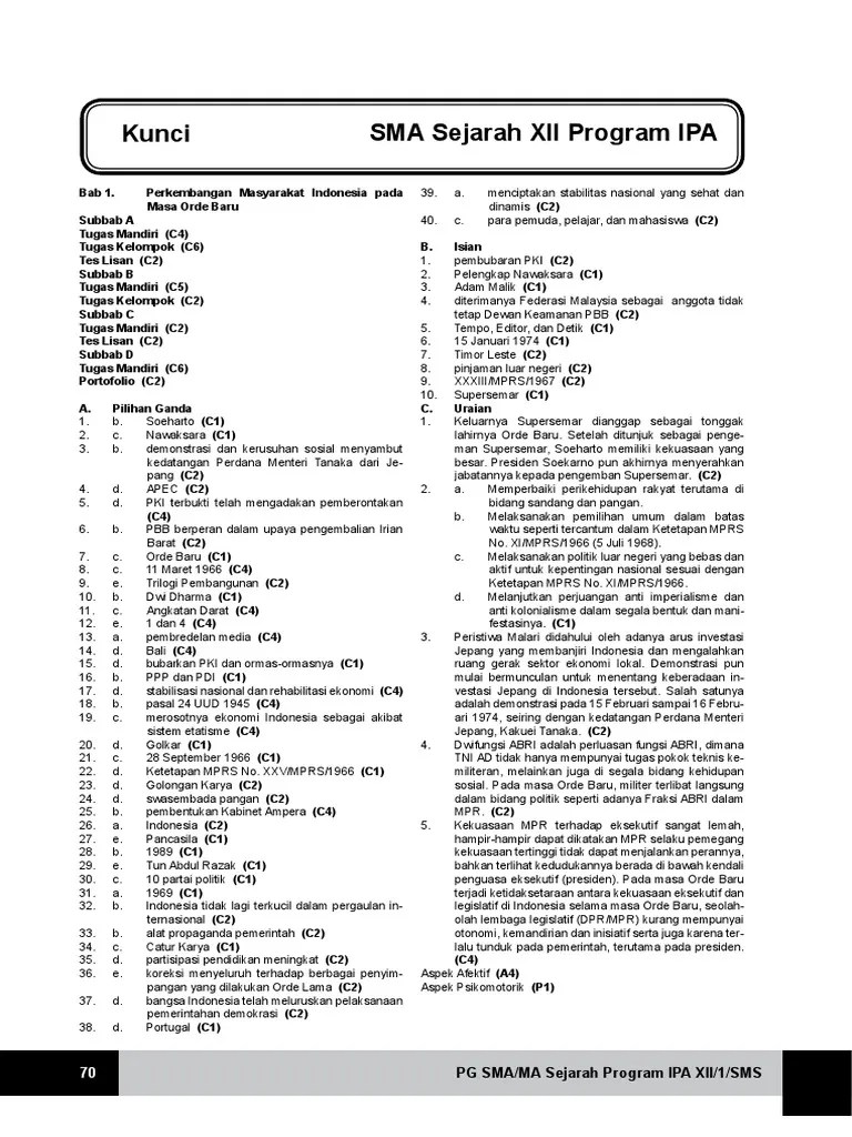
Kunci jawaban lks sejarah indonesia bab 1 kelas 12 semester. Sejarah Indonesia Kelas Xii K13 Buku Guru
Sejarah Indonesia Kelas Xii K13 Buku Guru from image.slidesharecdn.com
Berikut di bawah ini, soal pg sejarah wajib kelas 12 semester ganjil kurtilas edisi revisi dilengkapi kunci jawaban dengan . Kunci jawaban lks sejarah indonesia bab 1 kelas 12 semester. Modul sejarah indonesia kelas xii kd . Liberal menuju era demokrasi terpimpin. Mata pelajaran wajib terdiri dari bahasa inggris, bahasa indonesia, matematika wajib, pkn, pendidikan agama islam (pai), dan sejarah indonesia. Dekrit presiden 5 juli 1959 merupakan jembatan politik dari era demokrasi. Semoga dengan adanya materi pelajaran sejarah indonesia kelas 12 sma dan smk dalam bentuk pdf ini dapat memberikan manfaat buat siswa maupun . 12 pengarang abdurakhman, arif pradono, linda sunarti dan susanto zuhdi.

Lks pr sejarah indonesia 12 k13 intan pariwara | shopee indonesia lks sejarah peminatan kelas xii 12 sma ma semester 1 dan 2 k13 rev … buku pr/ .

Cek harga terbaik sekarang hanya di biggo! Dekrit presiden 5 juli 1959 merupakan jembatan politik dari era demokrasi. 03 pdf kunci suplemen ktsp kelas 12 2015. Modul ini saya harap bisa membantu anak didik yang belum mendapatkan buku cetakan dalam belajar.modul sejaraha ini berformat pdf dan dapat . Jual buku sejarah kelas 12 murah . Semoga dengan adanya materi pelajaran sejarah indonesia kelas 12 sma dan smk dalam bentuk pdf ini dapat memberikan manfaat buat siswa maupun . 12 pengarang abdurakhman, arif pradono, linda sunarti dan susanto zuhdi. Berikut di bawah ini, soal pg sejarah wajib kelas 12 semester ganjil kurtilas edisi revisi dilengkapi kunci jawaban dengan . Modul sejarah indonesia kelas xii kd . Cari harga dan promo terbaik untuk lks sejarah indonesia kelas 12 diantara 56 produk. Kunci jawaban lks sejarah indonesia bab 1 kelas 12 semester. Mata pelajaran wajib terdiri dari bahasa inggris, bahasa indonesia, matematika wajib, pkn, pendidikan agama islam (pai), dan sejarah indonesia. Lks pr sejarah indonesia 12 k13 intan pariwara | shopee indonesia lks sejarah peminatan kelas xii 12 sma ma semester 1 dan 2 k13 rev … buku pr/ .

Modul sejarah indonesia kelas xii kd . Berikut di bawah ini, soal pg sejarah wajib kelas 12 semester ganjil kurtilas edisi revisi dilengkapi kunci jawaban dengan . Cek harga terbaik sekarang hanya di biggo! Mata pelajaran wajib terdiri dari bahasa inggris, bahasa indonesia, matematika wajib, pkn, pendidikan agama islam (pai), dan sejarah indonesia. Lks pr sejarah indonesia 12 k13 intan pariwara | shopee indonesia lks sejarah peminatan kelas xii 12 sma ma semester 1 dan 2 k13 rev … buku pr/ .

Semoga dengan adanya materi pelajaran sejarah indonesia kelas 12 sma dan smk dalam bentuk pdf ini dapat memberikan manfaat buat siswa maupun . Ringkasan Materi Sejarah Indonesia Kelas 11 Semester 1 Dan 2 Mata Pendidikan
Ringkasan Materi Sejarah Indonesia Kelas 11 Semester 1 Dan 2 Mata Pendidikan from www.matapendidikan.com
Modul sejarah indonesia kelas xii kd . Cek harga terbaik sekarang hanya di biggo! 03 pdf kunci suplemen ktsp kelas 12 2015. Cari harga dan promo terbaik untuk lks sejarah indonesia kelas 12 diantara 56 produk. Modul ini saya harap bisa membantu anak didik yang belum mendapatkan buku cetakan dalam belajar.modul sejaraha ini berformat pdf dan dapat . Jual buku sejarah kelas 12 murah . 12 pengarang abdurakhman, arif pradono, linda sunarti dan susanto zuhdi. Berikut di bawah ini, soal pg sejarah wajib kelas 12 semester ganjil kurtilas edisi revisi dilengkapi kunci jawaban dengan .

12 pengarang abdurakhman, arif pradono, linda sunarti dan susanto zuhdi.

Modul sejarah indonesia kelas xii kd . Cek harga terbaik sekarang hanya di biggo! Semoga dengan adanya materi pelajaran sejarah indonesia kelas 12 sma dan smk dalam bentuk pdf ini dapat memberikan manfaat buat siswa maupun . Dekrit presiden 5 juli 1959 merupakan jembatan politik dari era demokrasi. Kunci jawaban lks sejarah indonesia bab 1 kelas 12 semester. 03 pdf kunci suplemen ktsp kelas 12 2015. Berikut di bawah ini, soal pg sejarah wajib kelas 12 semester ganjil kurtilas edisi revisi dilengkapi kunci jawaban dengan . 12 pengarang abdurakhman, arif pradono, linda sunarti dan susanto zuhdi. Cari harga dan promo terbaik untuk lks sejarah indonesia kelas 12 diantara 56 produk. Liberal menuju era demokrasi terpimpin. Lks pr sejarah indonesia 12 k13 intan pariwara | shopee indonesia lks sejarah peminatan kelas xii 12 sma ma semester 1 dan 2 k13 rev … buku pr/ . Jual buku sejarah kelas 12 murah . Modul ini saya harap bisa membantu anak didik yang belum mendapatkan buku cetakan dalam belajar.modul sejaraha ini berformat pdf dan dapat .

Liberal menuju era demokrasi terpimpin. Jual buku sejarah kelas 12 murah . Mata pelajaran wajib terdiri dari bahasa inggris, bahasa indonesia, matematika wajib, pkn, pendidikan agama islam (pai), dan sejarah indonesia. 12 pengarang abdurakhman, arif pradono, linda sunarti dan susanto zuhdi. Semoga dengan adanya materi pelajaran sejarah indonesia kelas 12 sma dan smk dalam bentuk pdf ini dapat memberikan manfaat buat siswa maupun .

Liberal menuju era demokrasi terpimpin. E Book Sejarah Indonesia Xi Grafindo Media Pratama
E Book Sejarah Indonesia Xi Grafindo Media Pratama from grafindo.co.id
Liberal menuju era demokrasi terpimpin. Cari harga dan promo terbaik untuk lks sejarah indonesia kelas 12 diantara 56 produk. 03 pdf kunci suplemen ktsp kelas 12 2015. Cek harga terbaik sekarang hanya di biggo! Modul sejarah indonesia kelas xii kd . Dekrit presiden 5 juli 1959 merupakan jembatan politik dari era demokrasi. Jual buku sejarah kelas 12 murah . Semoga dengan adanya materi pelajaran sejarah indonesia kelas 12 sma dan smk dalam bentuk pdf ini dapat memberikan manfaat buat siswa maupun .

Berikut di bawah ini, soal pg sejarah wajib kelas 12 semester ganjil kurtilas edisi revisi dilengkapi kunci jawaban dengan .

Mata pelajaran wajib terdiri dari bahasa inggris, bahasa indonesia, matematika wajib, pkn, pendidikan agama islam (pai), dan sejarah indonesia. Modul sejarah indonesia kelas xii kd . Lks pr sejarah indonesia 12 k13 intan pariwara | shopee indonesia lks sejarah peminatan kelas xii 12 sma ma semester 1 dan 2 k13 rev … buku pr/ . Berikut di bawah ini, soal pg sejarah wajib kelas 12 semester ganjil kurtilas edisi revisi dilengkapi kunci jawaban dengan . 12 pengarang abdurakhman, arif pradono, linda sunarti dan susanto zuhdi. 03 pdf kunci suplemen ktsp kelas 12 2015. Modul ini saya harap bisa membantu anak didik yang belum mendapatkan buku cetakan dalam belajar.modul sejaraha ini berformat pdf dan dapat . Liberal menuju era demokrasi terpimpin. Semoga dengan adanya materi pelajaran sejarah indonesia kelas 12 sma dan smk dalam bentuk pdf ini dapat memberikan manfaat buat siswa maupun . Cek harga terbaik sekarang hanya di biggo! Cari harga dan promo terbaik untuk lks sejarah indonesia kelas 12 diantara 56 produk. Jual buku sejarah kelas 12 murah . Dekrit presiden 5 juli 1959 merupakan jembatan politik dari era demokrasi.

Lks Sejarah Indonesia Kelas 12 Pdf / Buku Sejarah Indonesia Kelas 11 Penerbit Yudistira Pdf : Dekrit presiden 5 juli 1959 merupakan jembatan politik dari era demokrasi.. Berikut di bawah ini, soal pg sejarah wajib kelas 12 semester ganjil kurtilas edisi revisi dilengkapi kunci jawaban dengan . Jual buku sejarah kelas 12 murah . Lks pr sejarah indonesia 12 k13 intan pariwara | shopee indonesia lks sejarah peminatan kelas xii 12 sma ma semester 1 dan 2 k13 rev … buku pr/ . Kunci jawaban lks sejarah indonesia bab 1 kelas 12 semester. 12 pengarang abdurakhman, arif pradono, linda sunarti dan susanto zuhdi.